Последно обновена на
С помощта на някои прости изчисления би трябвало да разбереш как функционира погасителният план на твоя потребителски кредит. За целта обаче ще трябва да прочетеш тази статия много внимателно и концентрирано. Погледни на нея като на инвестиция – след като веднъж вникнеш в логиката на погасителния план, ще можеш да взимаш много по-добри финансови решения, когато става въпрос за потребителски кредити. Ще можеш, например, да изчислиш сумата, която ще спестиш, ако погасиш кредита си предварително.
Да започваме!
Как се изчислява погасителният план?
Да вземем за пример потребителски кредит от 100 лева с 12% годишен лихвен процент, който трябва да бъде погасен за 12 месеца. За по-лесно изчисление приемаме, че няма други допълнителни такси.
Как да изчислиш месечната вноска
Най-лесно е с прост кредитен калкулатор – просто въвеждаш горните 3 параметъра и получаваш четвъртия, т.е. 8.88 лева.
Най-вероятно кредитният калкулатор ще изчисли и общата цена на кредита: 8.88 х 12 = 106.62 лева.
Ако използваш по-сложен кредитен калкулатор, той ще ти изготви и погасителен план. В нашия случай той би изглеждал по следния начин:
| ПАДЕЖ | МЕСЕЦ | ОСТАВАЩА ЧАСТ ОТ ГЛАВНИЦАТА СЛЕД МЕСЕЧНАТА ВНОСКА | ВНОСКА | ЛИХВА, КОЯТО ПЛАЩАШ | ГЛАВНИЦА, КОЯТО ПЛАЩАШ |
|---|---|---|---|---|---|
| (1) | (2) | (3) | (4) | (5) | (6) |
| 25/08/2018 | 0 | 100.00 | |||
| 25/09/2018 | 1 | 92.12 | 8.88 | 1.00 | 7.88 |
| 25/10/2018 | 2 | 84.15 | 8.88 | 0.92 | 7.96 |
| 25/11/2018 | 3 | 76.11 | 8.88 | 0.84 | 8.04 |
| 25/12/2018 | 4 | 67.98 | 8.88 | 0.76 | 8.12 |
| 25/01/2019 | 5 | 59.78 | 8.88 | 0.68 | 8.21 |
| 25/02/2019 | 6 | 51.49 | 8.88 | 0.60 | 8.29 |
| 25/03/2019 | 7 | 43.12 | 8.88 | 0.51 | 8.37 |
| 25/04/2019 | 8 | 34.67 | 8.88 | 0.43 | 8.45 |
| 25/05/2019 | 9 | 26.13 | 8.88 | 0.35 | 8.54 |
| 25/06/2019 | 10 | 17.51 | 8.88 | 0.26 | 8.62 |
| 25/07/2019 | 11 | 8.80 | 8.88 | 0.18 | 8.71 |
| 25/08/2019 | 12 | 0.00 | 8.88 | 0.08 | 8.80 |
Как да разчетеш тази информация
Нека започнем с първия месец.
Стъпка 1) Изчисляваме дължимата лихва за месеца
На 25.09.2018 трябва да направиш първата си вноска след получаването на парите. През този месец се е натрупала лихва (колона 5), на базата на месечния лихвен процент. В нашия пример той е 1% (12% разделено на 12).
Въпросният 1% се прилага към оставащата сума, която кредитополучателят дължи. Нея наричаме „оставаща част от главницата след месечната вноска“. Към този момент все още дължиш цялата сума (100.00). Следователно дължимата лихва е 1.00.
| ПАДЕЖ | МЕСЕЦ | ОСТАВАЩА ЧАСТ ОТ ГЛАВНИЦАТА СЛЕД МЕСЕЧНАТА ВНОСКА | ВНОСКА | ЛИХВА, КОЯТО ПЛАЩАШ | ГЛАВНИЦА, КОЯТО ПЛАЩАШ |
|---|---|---|---|---|---|
| (1) | (2) | (3) | (4) | (5) | (6) |
| 25/08/2018 | 0 | 100.00 | |||
| 25/09/2018 | 1 | 92.12 | 8.88 | 1.00 | 7.88 |
Стъпка 2) Изчисляваме каква част от главницата е погасена през този месец.
И така, от 8.88 лева, които внасяш, 1.00 е дължимата лихва за месеца, а останалите 7.88 отиват за намаляване на главницата.
| ПАДЕЖ | МЕСЕЦ | ОСТАВАЩА ЧАСТ ОТ ГЛАВНИЦАТА СЛЕД МЕСЕЧНАТА ВНОСКА | ВНОСКА | ЛИХВА, КОЯТО ПЛАЩАШ | ГЛАВНИЦА, КОЯТО ПЛАЩАШ |
|---|---|---|---|---|---|
| (1) | (2) | (3) | (4) | (5) | (6) |
| 25/08/2018 | 0 | 100.00 | |||
| 25/09/2018 | 1 | 92.12 | 8.88 | 1.00 | 7.88 |
Стъпка 3) Изчисляваме оставащата част от главницата след плащането на месечната вноска
| ПАДЕЖ | МЕСЕЦ | ОСТАВАЩА ЧАСТ ОТ ГЛАВНИЦАТА СЛЕД МЕСЕЧНАТА ВНОСКА | ВНОСКА | ЛИХВА, КОЯТО ПЛАЩАШ | ГЛАВНИЦА, КОЯТО ПЛАЩАШ |
|---|---|---|---|---|---|
| (1) | (2) | (3) | (4) | (5) | (6) |
| 25/08/2018 | 0 | 100.00 | |||
| 25/09/2018 | 1 | 92.12 | 8.88 | 1.00 | 7.88 |
Преди плащането главницата е 100.00.
През този месец погасяваш 7.88 от тях. Остават 92.12 (100 – 7.88), което е и частта от главницата, която остава за погасяване след вноската. Кредитът ти започва да се амортизира.
Останалата част от главницата е в основата на изчисляването на лихвата, когато дойде време за следващата вноска.
| ПАДЕЖ | МЕСЕЦ | ОСТАВАЩА ЧАСТ ОТ ГЛАВНИЦАТА СЛЕД МЕСЕЧНАТА ВНОСКА | ВНОСКА | ЛИХВА, КОЯТО ПЛАЩАШ | ГЛАВНИЦА, КОЯТО ПЛАЩАШ |
|---|---|---|---|---|---|
| (1) | (2) | (3) | (4) | (5) | (6) |
| 25/08/2018 | 0 | 100.00 | |||
| 25/09/2018 | 1 | 92.12 | 8.88 | 1.00 | 7.88 |
| 25/10/2018 | 2 | 84.15 | 8.88 | 0.92 | 7.96 |
Тъй като от главница остава по-малко, размерът на лихвата, която плащаш, също ще намалее. При второто плащане месечният лихвен процент продължава да е 1%, но вече от 92.12 (новата сума на оставащата главница), което прави 0.92.
Понеже вноската ти отново е 8.88, по-голяма част от нея вече отива за погасяване на главницата, а именно 7.96.
Новата оставаща главница е 84.15, което получаваме като извадим 7.96 от предишната стойност 92.12.
И така, с напредване на времето всеки месец оставащата главница намалява, поради което плащаш все по-малко за лихва, а все по-голям дял от месечната вноска отива за погасяване на оставащата главница.
Сигурно ти е познато твърдението, че плащаш повече за лихви в началото на кредита и по-малко с наближаването на неговото погасяване. Както вече стана ясно, това е свързано с амортизирането на главницата.
Нека изчислим колко общо плащаш за лихва. 12 вноски по 8.88 лева прави 106.62 лева. При положение че получаваш заем на стойност 100 лева, следва, че начислената лихва е 6.62 лева. Странно, нали?
Много хора „изчисляват“ по следния начин: „12% лихва на 100 лева за 1 година? Лесна работа - това прави 12 лева!“
Да, ама не. Лихвата е почти наполовина, тъй като базата, на която се прилага лихвеният процент, непрекъснато намалява. Това наричаме „амортизация“.
Още един любопитен феномен може да бъде забелязан на последните редове на погасителния план.
| ПАДЕЖ | МЕСЕЦ | ОСТАВАЩА ЧАСТ ОТ ГЛАВНИЦАТА СЛЕД МЕСЕЧНАТА ВНОСКА | ВНОСКА | ЛИХВА, КОЯТО ПЛАЩАШ | ГЛАВНИЦА, КОЯТО ПЛАЩАШ |
|---|---|---|---|---|---|
| (1) | (2) | (3) | (4) | (5) | (6) |
| 25/07/2019 | 11 | 8.80 | 8.88 | 0.18 | 8.71 |
| 25/08/2019 | 12 | 0.00 | 8.88 | 0.08 | 8.80 |
На ред 12, като на магия, главницата става 0. Това е така, защото месечната вноска от 8.88 е така изчислена, че кредитът да бъде погасен точно с 12 еднакви по размер вноски.
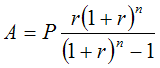
Самата формула е сложна. Можеш да я намериш в допълнението след края на статията или да потърсиш финансовата функция PMT в Excel. За нашия пример трябва да въведеш PMT (1%, 12, 100), а в общия случай: PMT (месечен лихвен процент, брой на месечните вноски, сумата на кредита).
Как да използваш погасителния план?
За да вземеш информирано решение, когато получиш оферта за кредит, трябва да се запознаеш с неговите ключови параметри.
А погасителният план е документът, от който ще имаш нужда, ако обмисляш дали да погасиш кредита предварително.
Оставащата част от главницата е сумата, която трябва да внесеш, в случай че искаш предварително да сложиш край на кредита си. Ако той е с плаваща лихва, това е и цялата сума, която трябва да заплатиш. Ако обаче лихвеният процент е фиксиран, в момента на предварителното погасяване трябва да добавиш наказателна такса за предварително погасяване, която се равнява на 1% от тази сума, ако до края на кредита остава повече от година, и 0.5% в останалите случаи.
Вторият важен показател е сумата, която ще спестиш при предварително погасяване. За да я изчислиш, трябва да събереш всички лихви, които би трябвало да платиш от датата на предсрочно погасяване до изтичането на срока на кредита (бъдещите дължими лихви).
Нека вземем за пример кредит от 5000 лева с годишен лихвен процент 12%, който трябва да бъде погасен за 48 месеца. Ще приемем, че не се начисляват други такси, освен лихвата.
| A | Сума на кредита | 5 000.00 |
| B | Продължителност в месеци | 48 |
| C | Годишен лихвен процент (ГЛП) | 12.00% |
| D | Месечна вноска | 131.67 |
| F = C / 12 | Месечен лихвен процент | 1% |
| G = B * D | Цена на кредита | 6 320.12 |
| H = G - A | Разходи за кредита | 1 320.12 |
Този кредит ще ти струва 1320.12 лева.
Нека разгледаме някои извадки от погасителния план:
| ПАДЕЖ | МЕСЕЦ | ОСТАВАЩА ЧАСТ ОТ ГЛАВНИЦАТА СЛЕД МЕСЕЧНАТА ВНОСКА | ВНОСКА | ЛИХВА, КОЯТО ПЛАЩАШ | ГЛАВНИЦА, КОЯТО ПЛАЩАШ | ОБЩО ПЛАТЕНА ЛИХВА | ЛИХВА, КОЯТО ТРЯБВА ДА ПЛАТИШ В БЪДЕЩЕ |
|---|---|---|---|---|---|---|---|
| (1) | (2) | (3) | (4) | (5) | (6) | (7) | (8) |
| 25/08/2018 | 0 | 5 000.00 | 0 | 1 320.12 | |||
| 25/09/2018 | 1 | 4 918.33 | 131.67 | 50.00 | 81.67 | 50.00 | 1 270.12 |
| 25/10/2018 | 2 | 4 835.84 | 131.67 | 49.18 | 82.49 | 99.18 | 1 220.94 |
| 25/11/2018 | 3 | 4 752.53 | 131.67 | 48.36 | 83.31 | 147.54 | 1 172.58 |
| 25/12/2018 | 4 | 4 668.39 | 131.67 | 47.53 | 84.14 | 195.07 | 1 125.05 |
| 25/01/2019 | 5 | 4 583.41 | 131.67 | 46.68 | 84.99 | 241.75 | 1 078.37 |
...
| ПАДЕЖ | МЕСЕЦ | ОСТАВАЩА ЧАСТ ОТ ГЛАВНИЦАТА СЛЕД МЕСЕЧНАТА ВНОСКА | ВНОСКА | ЛИХВА, КОЯТО ПЛАЩАШ | ГЛАВНИЦА, КОЯТО ПЛАЩАШ | ОБЩО ПЛАТЕНА ЛИХВА | ЛИХВА, КОЯТО ТРЯБВА ДА ПЛАТИШ В БЪДЕЩЕ |
|---|---|---|---|---|---|---|---|
| (1) | (2) | (3) | (4) | (5) | (6) | (7) | (8) |
| 25/02/2020 | 18 | 3 398.08 | 131.67 | 34.95 | 96.72 | 768.12 | 552.00 |
| 25/03/2020 | 19 | 3 300.39 | 131.67 | 33.98 | 97.69 | 802.11 | 518.01 |
| 25/04/2020 | 20 | 3 201.73 | 131.67 | 33.00 | 98.67 | 835.11 | 485.01 |
| 25/05/2020 | 21 | 3 102.07 | 131.67 | 32.02 | 99.65 | 867.13 | 452.99 |
...
| ПАДЕЖ | МЕСЕЦ | ОСТАВАЩА ЧАСТ ОТ ГЛАВНИЦАТА СЛЕД МЕСЕЧНАТА ВНОСКА | ВНОСКА | ЛИХВА, КОЯТО ПЛАЩАШ | ГЛАВНИЦА, КОЯТО ПЛАЩАШ | ОБЩО ПЛАТЕНА ЛИХВА | ЛИХВА, КОЯТО ТРЯБВА ДА ПЛАТИШ В БЪДЕЩЕ |
|---|---|---|---|---|---|---|---|
| (1) | (2) | (3) | (4) | (5) | (6) | (7) | (8) |
| 25/05/2022 | 45 | 387.24 | 131.67 | 5.14 | 126.53 | 1 312.35 | 7.77 |
| 25/06/2022 | 46 | 259.44 | 131.67 | 3.87 | 127.80 | 1 316.22 | 3.90 |
| 25/07/2022 | 47 | 130.37 | 131.67 | 2.59 | 129.07 | 1 318.82 | 1.30 |
| 25/08/2022 | 48 | 0.00 | 131.67 | 1.30 | 130.37 | 1 320.12 | (0.00) |
Вдясно добавихме 2 колони:
Общо платена лихва (7), която започва от 0 и достига до 1320.12 в последния ред.
При лихвата, която трябва да платиш в бъдеще (8) нещата се случват точно в обратния ред. Тя започва от 1320.12, за да стигне до 0.
Ако искаш да погасиш кредита си след 5-ия месец, ще трябва да разполагаш с останалата част от главницата 4 583.41 (+ наказателна такса, ако има такава). При тази операция ще спестиш от бъдещите лихви 1 078.37, а кредитът ще ти струва 241.75 под формата на лихви.
Ако избереш предварителното погасяване да се случи след 18-ия месец, ще трябва да внесеш 3 398.08 за оставащата част от главницата. По този начин ще спестиш 552.00 от бъдещите лихви, а до момента вече ще си платил лихви на стойност 768.12.
Важно!
Направената симулация е валидна единствено, в случай че плащането се извърши точно на датата на падежа.
При повечето банки, дори да изпратиш сумата преди падежа, ще ти бъде начислена пълната лихва за месеца.
Да вземем за пример ситуацията, в която погасяваш кредита след 18-ия месец. Дори да изпратиш парите на 07.02.2020, пак ще трябва да заплатиш пълната лихва за периода 28.01.2020 – 28.02.2020.
Забележка: Ако пожелаеш предварително да погасиш кредита си от Klear, не само че няма да ти бъде начислена наказателна такса, но и ще трябва да внесеш единствено лихвата, начислена за периода между последния падеж и деня на погасяването.
С други думи, ако използваме същия пример на погасяване след 18-ия месец, няма да ти начислим 34.95 лева (пълната лихва за месеца), а само онази онази част от лихвата, която се е натрупала в периода 28.01.2020 – 07.02.2020, т.е. само за 10 дни, вместо средния брой дни за 1 месец (365/12).
Следователно ще трябва да платиш само 34.95 * 10 * (12/365) = 11.49 лева.
Допълнение (Формула за изчисляване на месечната вноска)
A = Месечна вноска
P = Сума на кредита
r = Месечен лихвен процент
n = Брой на месечните вноски
